老白干酒前三季度存货规模高于总营收 应收账款貌似很少
运营商财经网 周颖/文
近日,老白干酒发布2025年三季度财报,报告显示,公司前三季度营利双双下降,运营商财经网由此注意到了公司的存货情况。

财报数据显示,老白干酒前三季度营业收入为33.30亿元,同比下降18.53%,归母净利润为4.00亿元,同比下降28.04%。其中100元以上的产品收入为17.38亿元,同比下降14.96%,100元以下的产品收入同比减少22.06%至15.74亿元。
而第三季度单季度公司营业收入为8.49亿元,同比下降47.55%,归母净利润同比下降68.48%至7939.23万元,营收和利润双双下滑,未能保持业绩的增长趋势。

此外,老白干酒前三季度经营活动产生的现金流量净额为-1.21亿元,同比大幅减少118.92%,由正转负,老白干酒对此解释称,主要原因为本期销售商品提供劳务收到的现金减少所致。而货币资金同比下降16.29%至12.94亿元,期末现金及现金等价物余额由去年年末的15.04亿元下滑至12.94亿元。
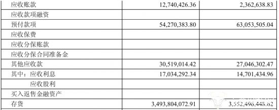
但老白干酒前三季度应收票据及应收账款却增长至1.07亿元,其中应收账款由去年年末的236.26万元增长至1274.04万元,增幅达439.25%。这个应收账款的金额是非常低的,表明老白干酒的财务良好。
同时,老白干酒前三季度存货高达34.94亿元,规模超过前三季度总营收,存货周转天数增长至847.3天。这在酒企中不稀奇,也不存在贬值,因为白酒放的时间越长,可能价值越高。
但公司前三季度合同负债却同比下降31%至12.07亿元,这也意味着经销商拿货意愿有所降低。

值得一提的是,老白干核心销售区域河北地区报告期内经销商数量为2042个,相较于报告期初增长了125个,但营业收入却同比下降13.82%至20.19万元。
老白干酒今年能否实现业绩的正向增长,运营商财经网将持续关注。
(责任编辑:周颖)