新管理团队“集结”完毕,连亏70亿后,美凯龙开始认真了?
不足一年时间里,美凯龙已发生董监高变更15人次

投资时间网、标点财经研究员 董琳
今年9月以来,红星美凯龙家居集团股份有限公司(下称美凯龙,601828.SH、1528.HK)迎来了新一轮高管变动。
9月1日,美凯龙副总经理车国兴辞职。9月5日,公司非执行董事许迪、宋广斌因工作调动原因向董事会申请辞去非执行董事职务。公开资料显示,二人此前均为阿里系高管。
9月15日,美凯龙再发公告称,公司董事会秘书、副总经理、香港联席公司秘书及授权代表邱喆因个人职业规划原因辞去上述职务,辞任后将不在公司及公司控股子公司担任其他职务,其原定任期至2026年8月14日。
值得一提的是,在离职前邱喆的减持计划已实施完毕。截至9月10日,邱喆通过集中竞价交易方式累计减持公司股份4.68万股,占公司总股本的0.0011%,减持总金额为13.99万元。
对于邱喆的职位空缺,9月15日,美凯龙召开第五届董事会第四十四次临时会议,指定公司执行董事、副总经理、财务负责人杨映武代行董事会秘书职责,其同时担任联交所电子呈交系统(ESS)获授权人士;公司董事长兼执行董事李玉鹏获委任为授权代表,将与杨映武共同担任授权代表。此外,伍秀薇因工作调动已辞任公司的联席公司秘书及法律程序代理人,欧正获委任为香港联席公司秘书及法律程序代理人。
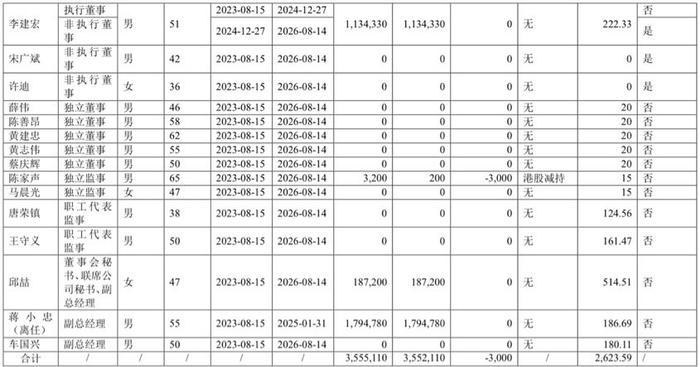
投资时间网、标点财经研究员注意到,据2024年报信息,剔除独立董事、监事会主席、监事后,美凯龙共有13位董事和高级管理人员,而在不足一年的时间里,该公司已发生董监高变更15人次。除上述高管外,蒋小忠、王文怀、郑永达、车建兴、李建宏在此前均已辞去相关职务。
2024年美凯龙董事、监事、高级管理人员情况


数据来源:公司财报
2025年3月,美凯龙董事会审议通过议案,李玉鹏由非执行董事调任为执行董事,并获选为公司董事长,同时担任董事会战略与投资委员会主席一职。7月,董事会同意聘任公司执行董事、副总经理施姚峰为总经理。从简历来看,李玉鹏、施姚峰及杨映武此前均是建发系高管。
在业绩方面,尽管新管理层着力推动美凯龙聚焦家居主业、优化负债结构,但目前来看效果并不理想。2023年、2024年及2025年上半年,美凯龙归母净利润累计亏损已超70亿元。
投资时间网、标点财经研究员注意到,美凯龙此次人事“换防”,正值公司战略转型的关键阶段。
9月9日,包括党委书记、董事长李玉鹏,党委副书记、总经理施姚峰在内的7位核心高管在美凯龙举办的“启新·99共潮生”战略合作伙伴大会上集体亮相,正式发布公司“新五年业务发展战略”。
李玉鹏表示,美凯龙将推动“3+星生态”进一步升级为涵盖“家居+地产+供应链”和“食住行一体”的泛家居大生态。通过与建发集团的深度协同,公司正将生态边界从家居拓展至更广阔的生活服务领域。美凯龙还会加速融入建发供应链、商业地产、物业服务、代建装饰、汽车家电等板块生态圈,扩大集团内业务协同规模,实现进一步的跨界资源联动。
此外,随着美凯龙第二大股东红星美凯龙控股集团有限公司(下称红星控股)的重整计划进入执行阶段,其当前对公司的持股比例已降至20%以下。
美凯龙近日发布的《关于持股5%以上股东权益变动触及1%刻度暨股东重整计划进展公告》显示,红星控股持有的公司1.55亿股股票(占公司总股本的3.57%)将以抵债形式向普通债权人进行分配。权益变动后,红星控股的持股比例由23.51%降至19.95%。
投时关键词:美凯龙(601828.SH、1528.HK)